Entre em contato com um de nossos especialistas!

Projeto hidráulico água quente e fria na Bahia

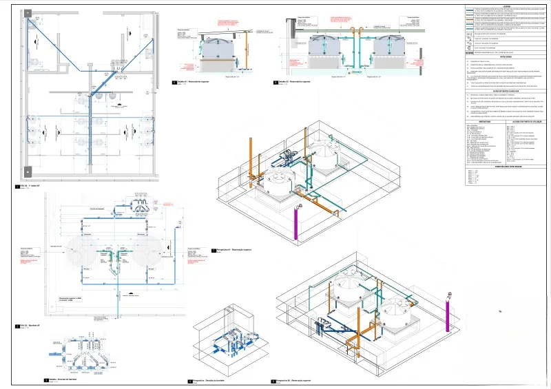
Projeto Hidráulico Água Quente e Fria na Bahia: Tudo o que Você Precisa Saber

Um projeto hidráulico água quente e fria na bahia consiste no planejamento e dimensionamento adequado das instalações de água de um imóvel, considerando tanto a rede de distribuição de água quente como a de água fria.

Esse tipo de projeto é fundamental para garantir o correto funcionamento e eficiência dos sistemas hidráulicos, prevenindo vazamentos, danos estruturais e desperdício de água.

Além disso, um projeto bem elaborado proporciona mais conforto aos usuários e contribui para a economia de energia e água.

É essencial contar com profissionais qualificados para a execução desse serviço.

Importância do Projeto Hidráulico Água Quente e Fria na Bahia

Um projeto hidráulico água quente e fria na bahia é essencial para garantir o bom funcionamento das instalações hidráulicas em um imóvel.

Ao realizar o planejamento adequado, considerando as necessidades específicas de cada ambiente, é possível evitar problemas como vazamentos e falta de pressão, proporcionando mais conforto e segurança aos usuários.

Além disso, a correta distribuição da água quente e fria contribui para a eficiência energética e a economia de recursos, tornando o projeto não apenas funcional, mas também sustentável.

Benefícios de um Projeto Hidráulico Bem Elaborado

Um projeto hidráulico bem elaborado para água quente e fria na Bahia traz uma série de benefícios tanto para os usuários quanto para o meio ambiente.

Com a instalação adequada das tubulações e equipamentos, é possível garantir o fornecimento contínuo de água nas temperaturas desejadas, evitando desperdícios e promovendo o uso racional dos recursos hídricos.

Além disso, a eficiência energética proporcionada por um projeto bem dimensionado contribui para a redução do consumo de eletricidade, gerando economia a longo prazo.

Projeto Hidráulico Predial: Fundamentos e Aplicações

Um projeto hidráulico predial é um conjunto de documentos técnicos que especificam a distribuição de água e esgoto em edifícios.

Ele engloba cálculos de vazão, dimensionamento de tubulações, localização de pontos de consumo, tipos de materiais a serem utilizados e recomendações de instalação.

Essa documentação é fundamental para garantir o correto funcionamento do sistema hidráulico, evitando problemas como vazamentos e falta de pressão.

Além disso, o projeto hidráulico predial auxilia na economia de recursos, evitando desperdícios de água e prolongando a vida útil das instalações.

A Importância da CHASTINET ARQUITETURA, ENGENHARIA E URBANISMO

A CHASTINET ARQUITETURA, ENGENHARIA E URBANISMO é um escritório sediado em Salvador, Bahia, que atua com excelência no desenvolvimento de projetos integrados.

Especialista em arquitetura, urbanismo e engenharia, a empresa oferece soluções completas em diferentes escalas, sempre com foco em funcionalidade, bem-estar e sustentabilidade.

Com uma equipe multidisciplinar e expertise em projetos hidráulicos, a CHASTINET se destaca pela integração total entre arquitetura, engenharia e urbanismo, garantindo resultados de alto impacto e eficiência.

Invista em um Projeto Hidráulico de Qualidade

Investir em um projeto hidráulico água quente e fria na bahia é fundamental para garantir o correto funcionamento das instalações, proporcionando conforto, segurança e economia de recursos.

Com a expertise da CHASTINET ARQUITETURA, ENGENHARIA E URBANISMO, é possível contar com soluções inovadoras e sustentáveis, que atendam às necessidades específicas de cada projeto.

Não deixe de priorizar a qualidade e a eficiência em seu projeto hidráulico, pois isso fará toda a diferença no resultado final.

Consulte profissionais qualificados e invista em um projeto que traga benefícios a longo prazo.

Agora que você conhece a importância de um projeto hidráulico de qualidade, não deixe de buscar os melhores profissionais e empresas do ramo para garantir o sucesso de sua obra.

Conte com a CHASTINET ARQUITETURA, ENGENHARIA E URBANISMO para desenvolver projetos integrados e inovadores, que atendam às suas necessidades e superem suas expectativas.

Encontrou o que procurava?

Faça seu orçamento grátis agora mesmo!

Principais regiões onde a Chastinet atende Projeto hidráulico água quente e fria na Bahia:

Região Metropolitana Recôncavo Baiano Sul da Bahia Sudoeste Oeste Baiano Chapada Diamantina
  • Salvador
  • Lauro de Freitas
  • Camaçari
  • Simões Filho
  • Dias d'Ávila
  • Candeias
  • São Francisco do Conde
  • Madre de Deus
  • Mata de São João
  • Santo Antônio de Jesus
  • Cruz das Almas
  • Maragogipe
  • Cachoeira
  • Muritiba
  • Nazaré
  • São Félix
  • Conceição do Almeida
  • Itabuna
  • Ilhéus
  • Porto Seguro
  • Eunápolis
  • Teixeira de Freitas
  • Itacaré
  • Canavieiras
  • Santa Cruz Cabrália
  • Vitória da Conquista
  • Jequié
  • Brumado
  • Guanambi
  • Caetité
  • Livramento de Nossa Senhora
  • Poções
  • Barreiras
  • Luís Eduardo Magalhães
  • Bom Jesus da Lapa
  • Correntina
  • Santa Maria da Vitória
  • São Desidério
  • Lençóis
  • Seabra
  • Itaberaba
  • Andaraí
  • Mucugê
  • Palmeiras