Entre em contato com um de nossos especialistas!

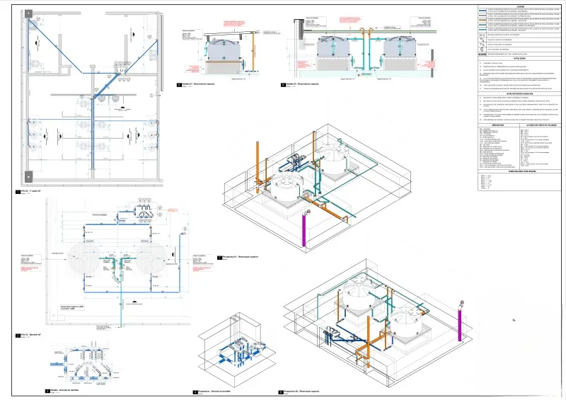
Projeto hidrossanitário residencial

Desvendando o projeto hidrossanitário residencial: Guia Completo

Um projeto hidrossanitário residencial é essencial para garantir o correto funcionamento dos sistemas de água potável e esgoto em uma residência.

Ele abrange a elaboração de redes de abastecimento de água, distribuição de água quente e fria, escoamento de resíduos líquidos e sólidos, além de dimensionamento e escolha de materiais adequados.

Este tipo de projeto contribui para a segurança, conforto e qualidade de vida dos moradores, evitando problemas como vazamentos, entupimentos e contaminação da água.

Em suma, é fundamental para o bom funcionamento das instalações hidráulicas e sanitárias de uma casa.

Elementos do Projeto Hidrossanitário

Dentro de um projeto hidrossanitário residencial, diversos elementos são considerados, como a rede de distribuição de água potável, a instalação de sistemas de aquecimento de água, a disposição de tubulações para esgoto e águas pluviais, entre outros.

Cada um desses elementos deve ser cuidadosamente planejado e dimensionado para garantir o pleno funcionamento do sistema como um todo.

Importância da Qualidade e Eficiência

A qualidade e eficiência de um projeto hidrossanitário residencial são fundamentais para evitar problemas futuros e garantir o conforto dos moradores.

Um projeto bem elaborado contribui para a economia de água, a prevenção de vazamentos e infiltrações, além de proporcionar um ambiente mais saudável e seguro para todos os ocupantes da residência.

A Integração com Projetos Arquitetônicos Residenciais

Projetos arquitetônicos residenciais​ referem-se a planejamentos detalhados para a construção, reforma ou renovação de casas, apartamentos ou edifícios residenciais.

Esses projetos levam em consideração aspectos como funcionalidade, estética, conforto e segurança, resultando em ambientes adequados às necessidades e desejos dos moradores.

Arquitetos especializados nesse tipo de projeto utilizam técnicas e conhecimentos específicos para criar espaços que atendam às exigências do cliente, considerando também aspectos legais, estruturais e ambientais.

A elaboração de um projeto arquitetônico residencial envolve plantas baixas, cortes, fachadas e especificações técnicas.

Como a Arquitetura Impacta o Projeto Hidrossanitário

A integração entre o projeto hidrossanitário e o projeto arquitetônico é essencial para garantir a harmonia e eficiência de todos os sistemas da residência.

A disposição dos ambientes, a escolha de materiais e acabamentos, e até mesmo a orientação solar são aspectos que influenciam diretamente no dimensionamento e na execução do projeto hidrossanitário.

Por isso, é fundamental que arquitetos e engenheiros trabalhem de forma integrada desde a concepção do projeto, visando o melhor resultado final.

Exemplos de Integração Eficiente entre Projetos

A CHASTINET ARQUITETURA, ENGENHARIA E URBANISMO é um escritório sediado em Salvador, Bahia, que se destaca pela integração total entre arquitetura, engenharia e urbanismo.

Com uma equipe multidisciplinar altamente qualificada, a empresa desenvolve projetos residenciais que aliam funcionalidade, estética e sustentabilidade, garantindo soluções completas e inovadoras para seus clientes.

A integração eficiente entre os projetos arquitetônico e hidrossanitário é um dos diferenciais da CHASTINET, que busca sempre a excelência em todas as etapas do processo de criação e execução.

Transforme sua residência com um projeto hidrossanitário residencial de qualidade!

Um projeto hidrossanitário residencial bem elaborado é a base para garantir o correto funcionamento dos sistemas de água e esgoto em sua casa.

Ao integrar esse projeto com um projeto arquitetônico bem planejado, é possível criar ambientes funcionais, confortáveis e seguros para toda a família.

Conte com a expertise da CHASTINET ARQUITETURA, ENGENHARIA E URBANISMO para transformar sua residência em um espaço único e sustentável.

Invista em qualidade e eficiência, e desfrute de todos os benefícios que um projeto hidrossanitário residencial pode oferecer.

Encontrou o que procurava?

Faça seu orçamento grátis agora mesmo!

Principais regiões onde a Chastinet atende Projeto hidrossanitário residencial:

Região Metropolitana Recôncavo Baiano Sul da Bahia Sudoeste Oeste Baiano Chapada Diamantina
  • Salvador
  • Lauro de Freitas
  • Camaçari
  • Simões Filho
  • Dias d'Ávila
  • Candeias
  • São Francisco do Conde
  • Madre de Deus
  • Mata de São João
  • Santo Antônio de Jesus
  • Cruz das Almas
  • Maragogipe
  • Cachoeira
  • Muritiba
  • Nazaré
  • São Félix
  • Conceição do Almeida
  • Itabuna
  • Ilhéus
  • Porto Seguro
  • Eunápolis
  • Teixeira de Freitas
  • Itacaré
  • Canavieiras
  • Santa Cruz Cabrália
  • Vitória da Conquista
  • Jequié
  • Brumado
  • Guanambi
  • Caetité
  • Livramento de Nossa Senhora
  • Poções
  • Barreiras
  • Luís Eduardo Magalhães
  • Bom Jesus da Lapa
  • Correntina
  • Santa Maria da Vitória
  • São Desidério
  • Lençóis
  • Seabra
  • Itaberaba
  • Andaraí
  • Mucugê
  • Palmeiras