Entre em contato com um de nossos especialistas!

Projeto de instalações hidrossanitárias em Salvador

Transformando Ambientes com Projetos de Instalações Hidrossanitárias em Salvador

Um projeto de instalações hidrossanitárias em salvador consiste no planejamento e execução de sistemas de água potável, esgoto sanitário e drenagem pluvial em edificações na região.

Essas instalações são fundamentais para garantir o abastecimento de água potável, a coleta e tratamento adequado de resíduos líquidos e a drenagem de águas pluviais, promovendo a saúde e o bem-estar dos usuários.

Além disso, um projeto bem elaborado contribui para a redução do impacto ambiental e para a eficiência no consumo de água.

Em Salvador, esses projetos são regulamentados por normas técnicas específicas.

Benefícios de Um Bom Projeto Hidrossanitário

Um projeto de instalações hidrossanitárias em salvador bem elaborado traz inúmeros benefícios para os usuários e para o meio ambiente.

Entre eles, destacam-se a garantia de um abastecimento de água potável de qualidade, a correta coleta e tratamento de esgoto, a prevenção de doenças relacionadas à falta de saneamento básico e a redução do consumo de água.

Além disso, um projeto eficiente contribui para a valorização do imóvel e para a sustentabilidade do ambiente construído.

Como Escolher um Profissional Qualificado

Para garantir a eficácia de um projeto de instalações hidrossanitárias em salvador, é essencial contar com profissionais qualificados e experientes.

A CHASTINET ARQUITETURA, ENGENHARIA E URBANISMO é um escritório sediado na região que oferece serviços especializados em arquitetura, engenharia e urbanismo.

Com uma equipe multidisciplinar e expertise no desenvolvimento de projetos integrados, a empresa se destaca pela qualidade e inovação em suas soluções.

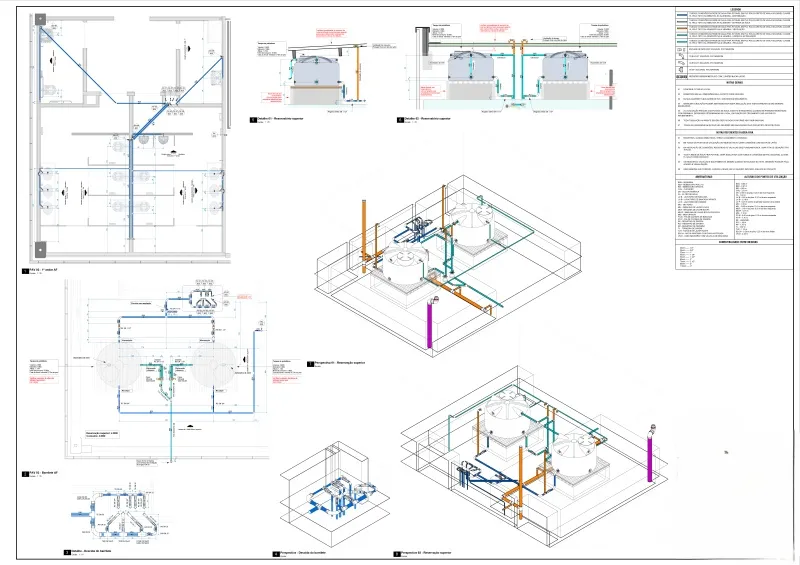
Aspectos Técnicos do Projeto Hidráulico Predial

Um projeto hidráulico predial é um conjunto de documentos técnicos que especificam a distribuição de água e esgoto em edifícios.

Ele engloba cálculos de vazão, dimensionamento de tubulações, localização de pontos de consumo, tipos de materiais a serem utilizados e recomendações de instalação.

Essa documentação é fundamental para garantir o correto funcionamento do sistema hidráulico, evitando problemas como vazamentos e falta de pressão.

Além disso, o projeto hidráulico predial auxilia na economia de recursos, evitando desperdícios de água e prolongando a vida útil das instalações.

Pontos Cruciais em Projetos Hidráulicos

Ao desenvolver um projeto de instalações hidrossanitárias em salvador, é importante considerar alguns pontos cruciais, como a correta dimensionamento das tubulações, a escolha de materiais de qualidade, a adequação às normas técnicas vigentes e a prevenção de problemas futuros.

Um projeto bem elaborado deve levar em conta as necessidades específicas do imóvel, garantindo eficiência, segurança e durabilidade às instalações.

Normas Técnicas e Legislações em Salvador

Em Salvador, os projetos de instalações hidrossanitárias devem atender às normas técnicas e legislações específicas da região.

É fundamental estar em conformidade com as diretrizes estabelecidas pelos órgãos competentes, garantindo a qualidade e a segurança das instalações.

A CHASTINET ARQUITETURA, ENGENHARIA E URBANISMO possui expertise na elaboração de projetos que seguem todas as normas e regulamentos, assegurando a excelência e a legalidade das soluções propostas.

Transformando Espaços com Eficiência e Sustentabilidade

Ao investir em um projeto de instalações hidrossanitárias em salvador, é possível transformar espaços de forma eficiente e sustentável.

Com a expertise da CHASTINET ARQUITETURA, ENGENHARIA E URBANISMO, é possível contar com soluções inovadoras e integradas que atendem às necessidades dos clientes, promovendo o bem-estar, a funcionalidade e a sustentabilidade dos ambientes.

Não deixe de buscar profissionais qualificados e experientes para garantir o sucesso do seu projeto hidráulico predial.

Transforme seu espaço e promova a eficiência com um projeto de instalações hidrossanitárias em salvador!

Encontrou o que procurava?

Faça seu orçamento grátis agora mesmo!

Principais regiões onde a Chastinet atende Projeto de instalações hidrossanitárias em Salvador:

Região Metropolitana Recôncavo Baiano Sul da Bahia Sudoeste Oeste Baiano Chapada Diamantina
  • Salvador
  • Lauro de Freitas
  • Camaçari
  • Simões Filho
  • Dias d'Ávila
  • Candeias
  • São Francisco do Conde
  • Madre de Deus
  • Mata de São João
  • Santo Antônio de Jesus
  • Cruz das Almas
  • Maragogipe
  • Cachoeira
  • Muritiba
  • Nazaré
  • São Félix
  • Conceição do Almeida
  • Itabuna
  • Ilhéus
  • Porto Seguro
  • Eunápolis
  • Teixeira de Freitas
  • Itacaré
  • Canavieiras
  • Santa Cruz Cabrália
  • Vitória da Conquista
  • Jequié
  • Brumado
  • Guanambi
  • Caetité
  • Livramento de Nossa Senhora
  • Poções
  • Barreiras
  • Luís Eduardo Magalhães
  • Bom Jesus da Lapa
  • Correntina
  • Santa Maria da Vitória
  • São Desidério
  • Lençóis
  • Seabra
  • Itaberaba
  • Andaraí
  • Mucugê
  • Palmeiras